banner

Filter by

Impact of dynamic capacity policies on WIP level in mix leveling lean environment

Balancing demand's product variety in production planning is one aspect of variety management challenge. This phenomenon is described in lean systems as mix leveling. This paper approach product mix leveling problem from a dynamic perspective. A system dynamics model is developed to explore the dynamics associated with the WIP level performance at different mix leveling policies in a lean

Impact of dynamic capacity policies on WIP level in mix leveling lean environment

Balancing demand's product variety in production planning is one aspect of variety management challenge. This phenomenon is described in lean systems as mix leveling. This paper approach product mix leveling problem from a dynamic perspective. A system dynamics model is developed to explore the dynamics associated with the WIP level performance at different mix leveling policies in a lean

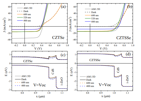
Spectral current-voltage analysis of kesterite solar cells

Current-voltage analysis using different optical band pass filters has been performed on Cu2ZnSnSe4 and Cu2ZnSn(S,Se) 4 thin-film solar cells. When using red or orange light (i.e. wavelengths above 600 nm), a distortion appears in the I-V curve of the Cu 2ZnSnSe4 solar cell, indicating an additional potential barrier to the current flow in the device for these conditions of illumination. This

Circuit Theory and Applications

On the mathematical modeling of memcapacitor bridge synapses

Mem-element based synaptic bridge is very promising topic due to its learning capability where the synaptic bridge can be build using either memristors or memcapacitors. In this paper, the detailed mathematical analysis of memcapacitor bridge circuit is introduced. This mathematical analysis is build when a current input signal is applied to excite the bridge. Closed form expressions for the

Circuit Theory and Applications

A degrees of freedom-optimal scheme for SISO X channel with synergistic alternating CSIT

In this paper, the degrees of freedom (DoF) of the two-user single input single output (SISO) X channel are investigated. Three cases are considered for the availability of channel state information at the transmitters (CSIT); perfect, delayed, and no-CSIT. A new achievable scheme is proposed to elucidate the potency of interference creation-resurrection (IRC) when the available CSIT alternates

Circuit Theory and Applications
Software and Communications

One-step thermolysis synthesis of divalent transition metal ions monodoped and tridoped CdS and ZnS luminescent nanomaterials

Mn2+, Co2+, or Ni2+ monodoped CdS (or ZnS) and Mn2+-Co2+-Ni2+ tridoped CdS (or ZnS) have been successfully synthesized by novel one-step thermolysis method using thiourea as a sulphur source. The synthesized nanomaterials were characterized by X-ray diffraction (XRD), transmission electron microscopy (TEM), and scanning electron microscopy (SEM). It is found that the average diameter and

Energy and Water

Towards energy efficient relay placement and load balancing in future wireless networks

This paper presents an energy efficient relay deployment algorithm that determines the optimal location and number of relays for future wireless networks, including Long Term Evolution (LTE)-Advanced heterogeneous networks. We formulate an energy minimization problem for macro-relay heterogeneous networks as a Mixed Integer Linear Programming (MILP) problem. The proposed algorithm not only

Energy and Water
Circuit Theory and Applications
Software and Communications

Joint relay assignment and adaptive modulation for energy-efficient cellular networks

Energy efficient operation of cellular systems becomes a core design goal for economic and environment-friendly network operation. Several studies have shown that the energy consumed in base stations represents 60-80% of the energy consumption in cellular networks. In this paper, we develop an optimization framework that exploits several energy efficient techniques including switching power modes

Energy and Water
Software and Communications
Innovation, Entrepreneurship and Competitiveness

Maximum throughput of a secondary user cooperating with an energy-aware primary user

This paper proposes a cooperation protocol between a secondary user (SU) and a primary user (PU) which dedicates a free frequency subband for the SU if cooperation results in energy saving. Time is slotted and users are equipped with buffers. Under the proposed protocol, the PU releases portion of its bandwidth for secondary transmission. Moreover, it assigns a portion of the time slot duration

Software and Communications

On the stable throughput of cooperative cognitive radio networks with finite relaying buffer

In this paper, we study the problem of cooperative communications in cognitive radio systems where the secondary user has limited relaying room for the overheard primary packets. More specifically, we characterize the stable throughput region of a cognitive radio network with a finite relaying buffer at the secondary user. Towards this objective, we formulate a constrained optimization problem for

Software and Communications