banner

Filter by

Novel cooperative policy for cognitive radio networks: Stability region and delay analysis

We consider a cognitive radio system that consists of primary user, secondary user, and their destinations. The secondary user has a relaying capability, i.e., it transmits the relayed packets from the primary user. Unlike most of the previous works that restrict the secondary user to transmit only in the idle time slots, we assume that the secondary user interferes on the primary user with

Software and Communications

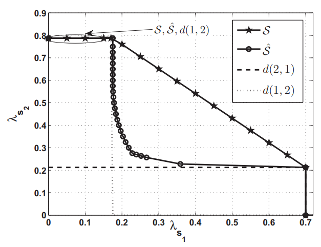
Cooperation and underlay mode selection in cognitive radio network

In this paper, we propose a technique for cooperation and underlay mode selection in cognitive radio networks. Hybrid spectrum sharing is assumed where the secondary user (SU) can access the primary user (PU) channel in two modes, underlay mode or cooperative mode with admission control. Overlay spectrum sharing allows the SU to occupy the spectrum only when the PU is idle. Cooperation

Software and Communications

Band allocation for cognitive radios with buffered primary and secondary users

In this paper, we study band allocation of Ms buffered secondary users (SUs) to Mp orthogonal primary licensed bands, where each primary band is assigned to one primary user (PU). Each SU is assigned to one of the available primary bands with a certain probability designed to satisfy some specified quality of service (QoS) requirements for the SUs. In the proposed system, only one SU is assigned

Software and Communications

Parameterized test patterns methodology for layout design rule checking verification

Design rules verification is an essential stage in the Process Design Kit (PDK) release for any fab. Since achieving high yield is the target of any fab, the design rules should ensure this. Design rules violations happening after fabrication lead to disastrous results on the mask sets as well as increased cost and delayed schedules. Here comes the importance of verifying these design rules and

Circuit Theory and Applications

Maximum Secondary Stable Throughput of a Cooperative Secondary Transmitter-Receiver Pair: Protocol Design and Stability Analysis

In this paper, we investigate the impact of cooperation between a secondary transmitter-receiver pair and a primary transmitter on the maximum stable throughput of the primary-secondary network. Each transmitter, either primary or secondary, has a buffer for storing its own traffic. In addition to its own buffer, the secondary transmitter has a buffer for storing a fraction of the undelivered

Software and Communications

On the degrees of freedom region of the M × N Interference Channel

In this paper, the K-user MIMO interference channel is considered. The asymmetric DoF region for the channel is studied. The asymmetric DoF represent the set of all achievable DoF combinations {d1, d2,..., dK}. For the three user channel, two cases are presented, the first is when all transmitters and receivers have equal number of antennas M, the other is when each transmitter has M antennas

Software and Communications

Effective capacity of delay-constrained cognitive radio links exploiting primary feedback

In this paper, we study the effective capacity (EC) of cognitive radio (CR) networks operating under statistical quality-of-service (QoS) constraints in an attempt to support real-time applications at the secondary users (SUs). In particular, we analyze the performance gains, in terms of EC and average transmitted power, attributed to leveraging the primary user (PU) feedback overheard at the SU

Software and Communications

On optimal policies in full-duplex wireless powered communication networks

The optimal resource allocation scheme in a full-duplex Wireless Powered Communication Network (WPCN) composed of one Access Point (AP) and two wireless devices is analyzed and derived. AP operates in a full-duplex mode and is able to broadcast wireless energy signals in downlink and receive information data in uplink simultaneously. On the other hand, each wireless device is assumed to be

Software and Communications

Reactance-less RM relaxation oscillator using exponential memristor model

Recently, the memristor based relaxation oscillators become an important topic in circuit theory where the reactive elements are replaced by memristor which occupies a very small area. In this paper, a design of memristor-based relaxation oscillator is introduced based on exponential memristor model. Unlike previously published oscillators which were built based on a simple memristor model, the

Circuit Theory and Applications

On The Optimization of Fractional Order Low-Pass Filters

This paper presents three different optimization cases for normalized fractional order low-pass filters (LPFs) with numerical, circuit and experimental results. A multi-objective optimization technique is used for controlling some filter specifications, which are the transition bandwidth, the stop band frequency gain and the maximum allowable peak in the filter pass band. The extra degree of

Circuit Theory and Applications