banner

Filter by

Fractional-order oscillator based on single CCII

This paper presents a generalization of well-known phase shift oscillator based on single CCII into the fractional order domain. The general state matrix, characteristic equation and design equations are presented. The general oscillation frequency, condition and the phase difference between the oscillatory outputs are introduced in terms of the fractional order parameters. These parameters add

Circuit Theory and Applications

Fractional Order Oscillator Design Based on Two-Port Network

In this paper, a general analysis of the generation for all possible fractional order oscillators based on two-port network is presented. Three different two-port network classifications are used with three external single impedances, where two are fractional order capacitors and a resistor. Three possible impedance combinations for each classification are investigated, which give nine possible

Circuit Theory and Applications

CFOA-Based fractional order simulated inductor

In this paper, a generalized fractional-order form of the simulated inductor using a single current feedback operational amplifier (CFOA) and a fractional-order capacitor is introduced. Analytical expression of the equivalent fractionalorder inductor versus the circuit elements is achieved. Moreover, the effect of the parasitic impedance and the non-idealities of the CFOA are investigated

Circuit Theory and Applications

Fractional-order inverting and non-inverting filters based on CFOA

This paper introduces a study to generalize the design of a continuous time filters into the fractional order domain. The study involves inverting and non-inverting filters based on CFOA where three responses are extracted which are high-pass, band-pass and low-pass responses. The proposed study introduces the generalized formulas for the transfer function of each response with different

Circuit Theory and Applications

Fractional-order mutual inductance: Analysis and design

This paper introduces for the first time the generalized concept of the mutual inductance in the fractional-order domain where the symmetrical and unsymmetrical behaviors of the fractional-order mutual inductance are studied. To use the fractional mutual inductance in circuit design and simulation, an equivalent circuit is presented with its different conditions of operation. Also, simulations for

Circuit Theory and Applications

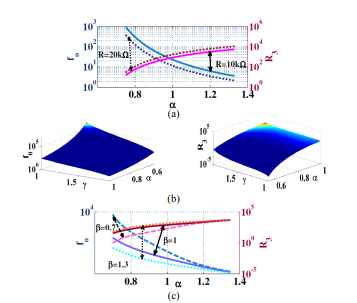
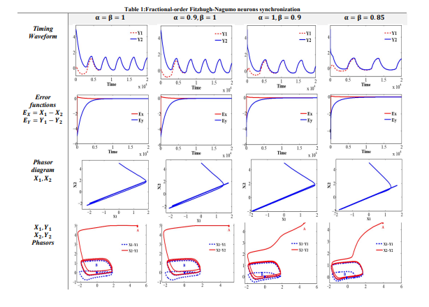
Fractional-order synchronization of two neurons using Fitzhugh-Nagumo neuron model

This paper studies the synchronization of two coupled neurons using Fitzhugh-Nagumo model in the fractional-order domain. In general, studying systems in the fractional-order domain provides a wider scope view of their behavior. When the neuron is generalized into the fractional-order domain, the normal behaviors displayed in the integer case change. Furthermore, two neurons display various

Circuit Theory and Applications

Fractional-order multi-phase oscillators design and analysis suitable for higher-order PSK applications

Recently, multi-phase oscillator design witnesses a lot of progress in communication especially phase shift keying based systems. Yet, there is a lack in design multi-phase oscillator with different fractional phase shifts. Thus, in this paper, a new technique to design and analyze a multi-phase oscillator is proposed. The proposed procedure is built based on the fractional-order elements or

Circuit Theory and Applications

A fractional-order dynamic PV model

A dynamic model of Photo-Voltaic (PV) solar module is important when it is utilized in conjunction with switching circuits and in grid connected applications. In this paper, a fractional-order dynamical model of a PV source is introduced. The model includes both a fractional series inductor and a parallel capacitor which are in general of two different orders allowing for extra degrees of modeling

Circuit Theory and Applications

A feedback-soft sensing-based cognitive access scheme with feedback erasures

In this paper, we examine a cognitive spectrum access scheme in which a secondary user exploits the primary feedback information. We consider an overlay model in which the secondary user accesses the channel by certain access probabilities that are function of the spectrum sensing metric. In setting our problem, we assume that the secondary user can receive the primary link's feedback automatic

Circuit Theory and Applications
Software and Communications

Tailored super magnetic nanoparticles synthesized via template free hydrothermal technique

Magnetite nanoparticles of controlled shape and dimensions were synthesized using a modified hydrothermal technique. The influence of different synthesis conditions on the shape, size (length and diameter), structure and magnetic properties of the prepared nanoparticles is presented. The mineral phases, the morphologies, size distribution of the resulting magnetic nanoparticles and their magnetic

Energy and Water