banner

Filter by

Reevaluation of Performance of Electric Double-layer Capacitors from Constant-current Charge/Discharge and Cyclic Voltammetry

The electric characteristics of electric-double layer capacitors (EDLCs) are determined by their capacitance which is usually measured in the time domain from constant-current charging/discharging and cyclic voltammetry tests, and from the frequency domain using nonlinear least-squares fitting of spectral impedance. The time-voltage and current-voltage profiles from the first two techniques are

Circuit Theory and Applications
Software and Communications

FPGA realization of ALU for mobile GPU

Arithmetic Logic Unit (ALU) is the most important component of processors. All arithmetic and logical computations are performed inside the ALU. This paper presents the design and the implementation of the ALU. The design is based on Approximated Precision Shader and Look-Up Table (LUT) multiplier. The lookup table, Wallace tree, and Carry Look-ahead Adder (CLA) are used in combination to speed up

Circuit Theory and Applications
Software and Communications

A fully integrated charge sharing active decap scheme for power supply noise suppression

Power supply noise has become a major challenge for proper operation of circuits with continuous scaling of CMOS technology along with supply voltage scaling. Conventional passive decoupling capacitors exhibit significant die area penalty resulting in a limited regulation effect. This paper presents a fully integrated charge-sharing-based active decap scheme for power supply noise suppression. The

Circuit Theory and Applications

A fast locking hybrid TDC-BB ADPLL utilizing proportional derivative digital loop filter and power gated DCO

A hybrid Time to Digital Converter (TDC) - Bang Bang (BB) All Digital Phase Locked Loop (ADPLL) architecture is proposed to optimize power, area, lock time, and design complexity. The Hybrid ADPLL architecture utilizes a low resolution two synthesizable Time to Digital Converters to achieve fast lock time, and then switches to a Bang-Bang like architecture once it is in the locked state. Such

Circuit Theory and Applications

Emulation of current excited fractional-order capacitors and inductors using OTA topologies

A novel topology suitable for emulating fractional-order capacitors and inductors using current excitation is achieved using a fractional-order differentiator/integrator block and appropriately configured Operational Transconductance Amplifiers. The scheme is capable of emulating both fractional-order capacitors and fractional-order inductors without any modifications to its structure. This

Circuit Theory and Applications

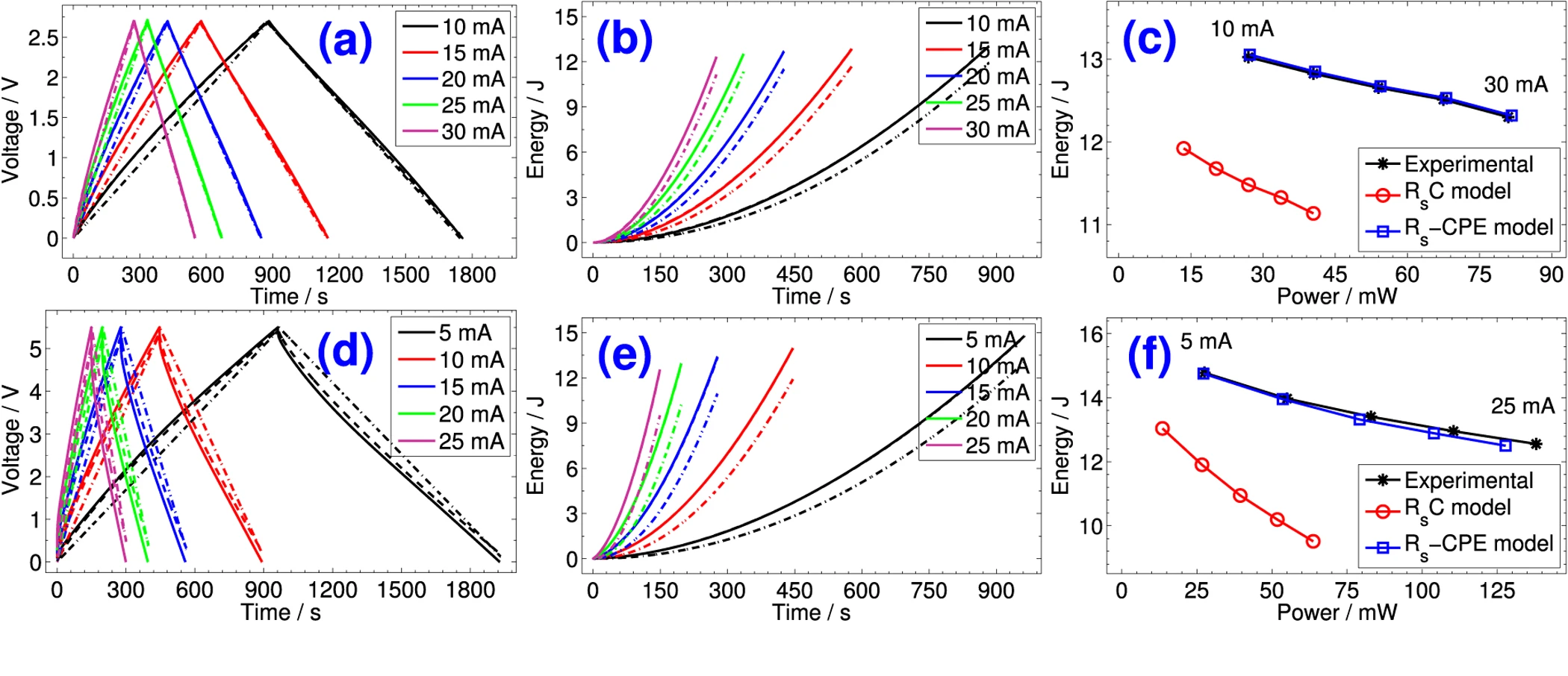
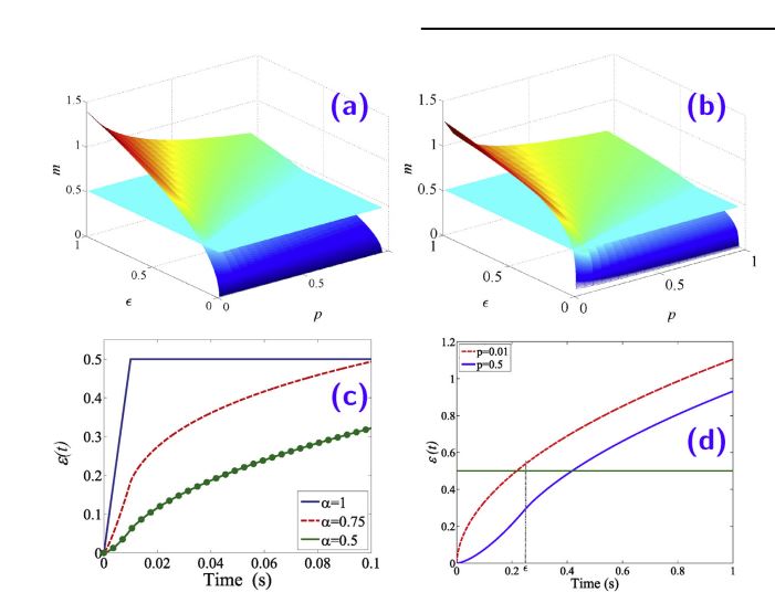
Power and energy analysis of fractional-order electrical energy storage devices

Characterizing and modeling electrical energy storage devices is essential for their proper integration in larger systems. However, basic circuit elements, i.e. resistors, inductors, and capacitors, are not well-suited to explain their complex frequency-dependent behaviors. Instead, fractional-order models, which are based on non-integer-order differential equations in the time-domain and include

Circuit Theory and Applications

On inverse problem of generalized synchronization between different dimensional integer-order and fractional-order chaotic systems

Chaos is described as a unstable dynamic behavior with dependence on initial conditions. The control and synchronization of chaotic systems requires the knowledge of parameters in advance. Recently researcher's has been shifted from integer order chaotic system to fraction order chaotic system. In this work, based on the stability theory of integer-order linear systems and Lyapunov stability

Circuit Theory and Applications

A low frequency oscillator using a super-capacitor

A low frequency relaxation oscillator is designed using a super-capacitor. An accurate analytical expression for the oscillation frequency is derived based on a fractional-order super-capacitor model composed of a resistance in series with a Constant Phase Element (CPE) whose pseudo-capacitance and dispersion coefficient are determined using impedance spectroscopy measurements. Experimental

Circuit Theory and Applications

Spectral Capacitance of Series and Parallel Combinations of Supercapacitors

The porous nature of the electrode material in supercapacitors and the apparent conductivity of the electrolyte cause their impedance to show a complex frequency-dependent behavior, which in turn makes it incorrect to treat them as ideal capacitors, even at a frequency of a few millihertz. This is particularly crucial if the intended application requires a configuration that uses stacked

Circuit Theory and Applications

Fractional-order Fitzhugh-Nagumo and Izhikevich neuron models

This paper studies the famous Fitzhugh-Nagumo and Izhikevich neuron models in the fractional-order domain. Generalization of the integer models into the fractional-order domain providing a wider scope understanding of the neuron systems. The fractional Fitzhugh-Nagumo circuit model and the state space equations are introduced. Different fractional orders are studied as an example. Numerical

Circuit Theory and Applications