banner

Filter by

Log-domain implementation of fractional-order element emulators

Novel fractional-order capacitor and inductor em-ulators are presented in this work, which offer fully electronic tunability of their characteristics and, simultaneously, reduced circuit complexity compared to those already introduced in the literature. This has been achieved through the utilization of the log-domain filtering for implementing the approximation of the required fractional-order

Circuit Theory and Applications

An Ultra-Low Power Wide-Band Single-Transistor Second-Order Allpass Filter in 65nm CMOS

In this paper, we propose a MOS design of a second-order voltage-mode allpass filter to be used as a time delay cell. The proposed filter is based on a single transistor, three resistors and two energy storage elements and was designed in a 65nm CMOS technology. Post-layout simulations demonstrate a group delay of approximately 13ps across a 30GHz bandwidth, while only consuming 809.7μW from a 1-V

Circuit Theory and Applications

Single-Transistor Second-Order Allpass Filters

This paper presents two CMOS designs of a second-order voltage-mode allpass filters (APFs) for high-frequency applications. Each of the proposed filters is based only on a single transistor and four surrounding impedances. The first proposed allpass filter is an RL filter while the second proposed one is an RLC filter. A detailed analysis along with the parasitic effects is provided for each of

Circuit Theory and Applications

EPS inclusion to reduce vertical stresses on shallow tunnels

Expanded polystyrene (EPS) has long been used to reduce stresses acting on buried structures. In this study, the efficiency of utilising EPS in reducing vertical stresses acting on cut-and-cover tunnels was investigated. To gauge this, short- and long-term shear strength parameters of EPS with densities of 25, 30, and 35 kg/m3 were determined. Interface friction of EPS with various materials was

Energy and Water
Mechanical Design

Synthesis of a family of differential cross-coupled oscillators and design application

A new class of differential oscillators comprising ten possible circuits is introduced in this work. Half of the members of this family are LC-based oscillators and the other half are RC-based ones. While all oscillators are second-order, a maximum of four resistors was imposed as a restriction on possible oscillators that belong to the proposed architecture. Only two of the found oscillators are

Circuit Theory and Applications

On the mechanism of creating pinched hysteresis loops using a commercial memristor device

In this short communication we analyze the impact of signal harmonics on the formation of the pinched hysteresis loop using a commercial memristor device. We show that by using only the fundamental frequency and the second harmonic components, extracted from the measured electrical current signal, a distortion-less pinched hysteresis loop is re-created. This loop is then used to simulate memristor

Circuit Theory and Applications

The effect of the geometric and thermal parameters on the thermal stresses during the passive cooling of printed circuit boards

The effect of components' thermal properties in addition to their geometric configuration on the developed thermal stress in a model printed circuit board (PCB) is investigated. This effect is quantified through three parameters, the average normalized temperature gradient, maximum normalized temperature gradient and the uniformity factor. It is found that the effect of the geometric configuration

Energy and Water
Mechanical Design

8-GHz low-power voltage-mode second-order allpass filter in 65-nm CMOS

In this paper, a CMOS wide-band low-power second-order voltage-mode allpass filter design is proposed as a true time delay element. The proposed allpass filter core design consists of a single transistor, three resistors, one capacitor and one inductor. As a time delay element, the proposed circuit exhibits a group delay of 34 ps within a bandwidth of 8 GHz while consuming only 926 μW from a 1-V

Circuit Theory and Applications

Optimization of energy-constrained wireless powered communication networks with heterogeneous nodes

In this paper, we generalize conventional time division multiple access (TDMA) wireless networks to a new type of wireless networks coined generalized wireless powered communication networks (g-WPCNs). Our prime objective is to optimize the design of g-WPCNs where nodes are equipped with radio frequency (RF) energy harvesting circuitries along with constant energy supplies. This constitutes an

Software and Communications

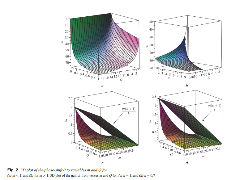
Third-order tunable-phase asymmetric crosscoupled oscillator

Here, the authors show that an asymmetric cross-coupled oscillator can be used to achieve independent-phase tunable outputs. In particular, a third-order cross-coupled oscillator, with non-balanced loads, is studied and expressions for its start-up condition, oscillation frequency, phase-shift between its two outputs as well as their amplitude ratio are derived. From these expressions, it is found

Circuit Theory and Applications