banner

Filter by

Solving Inverse Kinematics of a 7-DOF Manipulator Using Convolutional Neural Network

This paper presents a way to solve inverse kinematics of a 7-DOF manipulator using artificial neural networks. The manipulator consists of a 6-DOF articulated arm installed on a linear guide system to increase the workspace of the robot. The purpose of this paper is to provide an alternative to the traditional and complicated way to solve inverse kinematics by using artificial neural networks. The

Mechanical Design

Factorial design-optimized and gamma irradiation-assisted fabrication of selenium nanoparticles by chitosan and Pleurotus ostreatus fermented fenugreek for a vigorous in vitro effect against carcinoma cells

The novelty of the present work looks in the synthesis of aqueous dispersed selenium nanoparticles (Se NPs) using gamma rays with the aid of various natural macromolecules such as citrus pectin (CP), sodium alginate (Alg), chitosan (CS) and aqueous extract of fermented fenugreek powder (AEFFP) using Pleurotus ostreatus for investigating their impact in vitro toward carcinoma cell. The synthesized

Healthcare

Unveiling the Effect of Zn2+ Substitution in Enrichment of Structural, Magnetic, and Dielectric Properties of Cobalt Ferrite

This work reports the detailed structural characterization of Zn2+ ion-substituted cobalt ferrite nanoparticles (CFO NPs; Co1−xZnxFe2O4; x = 0.00, 0.25, 0.50, and 0.75), prepared using a facile sol–gel method. It correlates structural changes with magnetic and dielectric properties. The as-synthesized samples were investigated by X-ray diffraction (XRD) analysis, BET surface area analyzer, energy

Energy and Water

Single transistor RC-only second-order allpass filters

In this letter, all possible single transistor RC-only second-order allpass filters obtainable from a four impedance common-source topology are reported. It is shown that there are only seven such filters with only one of them being a minimum component canonical 2R-2C filter. Two of the found filters are designed and simulated in a 65-nm CMOS process. © 2019 John Wiley & Sons, Ltd.

Circuit Theory and Applications

Swarm intelligence application to UAV aided IoT data acquisition deployment optimization

It is feasible and safe to use unmanned aerial vehicle (UAV) as the data collection platform of the Internet of things (IoT). In order to save the energy loss of the platform and make the UAV perform the collection work effectively, it is necessary to optimize the deployment of UAV. The objective problem is to minimize the sum of the lost energy of UAV and the loss of data transmission of Internet

Artificial Intelligence
Software and Communications
Innovation, Entrepreneurship and Competitiveness

Combined effect of wind speed and covering irrigation canals on water quality parameters

Wind has a considerable effect on many water quality parameters. Some of the parameters are directly affected by the wind, while others are influenced by other physical water parameters like the velocity, temperature. etc.That are affected by wind and hence transfer their effect to water quality parameters. As the wind has an effect on water quality parameters, also covering waterways has a great

Healthcare
Energy and Water

Parametric Analysis of Optical Microring Resonator

This article presents the parametric analysis of the optical microring resonator. It includes the numerically simulated analysis. The mathematical formulation represents the several relations that could influence the performance of optical microring resonator. The simulations give the graphical representations of ring resonator performances by the alteration of various parameters. In this paper

Circuit Theory and Applications

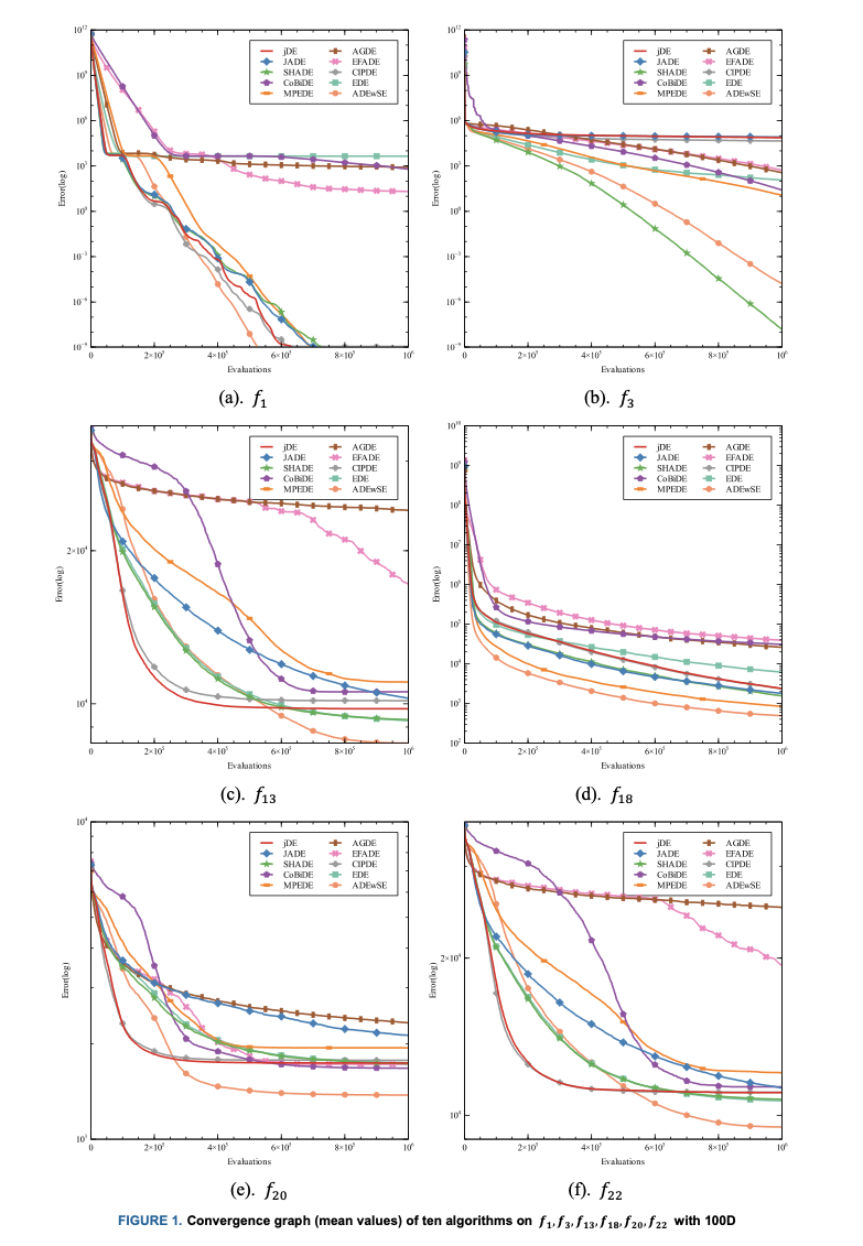
Adaptive differential evolution based on successful experience information

As a powerful optimization algorithm for solving nonlinear, complex and tough global optimization problems, differential evolution (DE) has been widely applied in various science and engineering fields. In this article, considering that the evolution direction of each individual is not fully exploited to guide the search process in most DE algorithms, a new DE variant ( named ADEwSE), which

Software and Communications

Generalized Formula for Generating N-Scroll Chaotic Attractors

The generation of Multi-scroll chaotic attractors and chaos theory has gained much attention due to its many usages in a wide range of applications such as image-encryption and random number generators. There have been many previous attempts to establish a system that is able to generate large numbers of n - scroll chaotic attractors by modifying existing systems such as Lorenz and Chua's systems

Circuit Theory and Applications

Combined effect of wind speed and covering irrigation canals on water quality parameters

Wind has a considerable effect on many water quality parameters. Some of the parameters are directly affected by the wind, while others are influenced by other physical water parameters like the velocity, temperature. etc. that are affected by wind and hence transfer their effect to water quality parameters. As the wind has an effect on water quality parameters, also covering waterways has a great

Healthcare
Energy and Water