banner

Fabrication of bio-plastic composite pellets from agricultural waste and food waste

This study aims to produce starch bioplastic pellets from food waste such as potato peels. Measuring the ease of flow of the melt is crucial for producing these pellets. The melt flow index (MFI) is measured in this study to evaluate the consistency of the produced pellets and determine the extent of degradation of the plastic because of molding. This study investigates the effect of adding different fillers to the starch matrix on reducing the MFI value. The fillers used in this work are nano chitosan, nano potato peel, and micro cellulose fillers. The fillers were used with different
Agriculture and Crops
Mechanical Design

Extraction of degradable bio polymer materials from shrimp shell wastes by two different methods

Chitosan is one of the most widespread biopolymer materials available in nature which is extracted from chitin. The main source of chitosan is the chitin that is extracted from exoskeletons of crustacean, such as shrimp and crabs, which are found in a huge amount of shells waste that produced from seafood companies around the world. The chitosan has several applications such as pharmaceutical, fertilizer and edible coating in food industries. The quality of the chitosan's depends on its extraction method, so in this research work we have studied the effect of grounding shrimp shell waste

Agriculture and Crops

Optimal random access and random spectrum sensing for an energy harvesting cognitive radio

We consider a secondary user with energy harvesting capability. We design access schemes for the secondary user which incorporate random spectrum sensing and random access, and which make use of the primary automatic repeat request (ARQ) feedback. The sensing and access probabilities are obtained such that the secondary throughput is maximized under the constraints that both the primary and secondary queues are stable and that the primary queueing delay is kept lower than a specified value needed to guarantee a certain quality of service (QoS) for the primary user. We consider spectrum sensing

Software and Communications
Agriculture and Crops

Optimal random access for a cognitive radio terminal with energy harvesting capability

We consider a cognitive radio scenario with an energy harvesting secondary user (SU) attempting to access a primary channel randomly. We assume multipacket reception (MPR) capability and investigate a system in which the SU may or may not exploit the primary feedback messages. The access probabilities are obtained to maximize the secondary throughput under the constraints of primary queue stability and such that the primary queueing delay is kept below a specified value in order to guarantee a certain quality of service (QoS) for the primary user (PU). We investigate the impact of the energy
Software and Communications
Agriculture and Crops

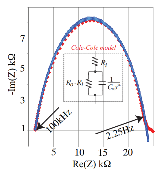
Cole-Cole Bio-Impedance Parameters Extraction from a Single Time-Domain Measurement

We show that the four parameters of a single-dispersion Cole-Cole bio-impedance model can be extracted from an one time-domain measurement with a fixed frequency. In particular, a periodic triangle waveform current excitation signal is injected into the biological sample under study while measuring the voltage developed across this sample in a galvanostatic measurement setup. The voltage response due to this triangle-wave excitation is firstly analytically derived in closed form. After that the Flower Pollination optimization Algorithm (FPA) is applied to extract the unknown model parameters

Circuit Theory and Applications
Software and Communications
Agriculture and Crops

Agricultural Service Mobile Robot Modeling and Control Using Artificial Fuzzy Logic and Machine Vision

This paper represents modeling and control of an agricultural service skid steering mobile robot for the purposes of grass cutting using Proportional-Integral-Derivative (PID) controller and Fuzzy Logic techniques and feedback signals from sensors as IMU, encoders, and Machine Vision. The paper deals with the system modeling into two methods: The first is using Fuzzy modeling as a modeling tool for complex nonlinear system, the second is using MATLAB software system Identification Tool. The study Uses PID, Fuzzy logic controller and fuzzy self-tuning of PID controller to control the path

Artificial Intelligence
Agriculture and Crops
Mechanical Design

Geospatial analysis of wetlands based on land use/land cover dynamics using remote sensing and GIS in Sindh, Pakistan

In this study, the Land Use/Land Cover (LULC) change has been observed in wetlands comprises of Manchar Lake, Keenjhar Lake, and Chotiari Reservoir in Pakistan over the last four decades from 1972 to 2020. Each wetland has been categorized into four LULC classes; water, natural vegetation, agriculture land, and dry land. Multitemporal Landsat satellite data including; Multi-Spectral Scanner (MSS), Thematic Mapper (TM), and Operational Land Imager (OLI) images were used for LULC changes evaluation. The Supervised Maximum-likelihood classifier method is used to acquire satellite imagery for

Agriculture and Crops

The deterministic multicast capacity of 4-node relay networks

In this paper, we completely characterize the deterministic capacity region of a four-node relay network with no direct links between the nodes, where each node communicates with the three other nodes via a relay. Towards this end, we develop an upper bound on the deterministic capacity region, based on the notion of a one-sided genie. To establish achievability, we use the detour schemes that achieve the upper bound by routing specific bits via indirect paths instead of sending them directly. © 2013 IEEE.

Software and Communications
Agriculture and Crops

Evaluation of Different Sudan Dyes in Egyptian Food Samples Utilizing Liquid Chromatography/Tandem Mass Spectrometry

A sensitive and a precise method was developed for the quantification of different Sudan dyes in some Egyptian food samples. They were analyzed utilizing two-fragment ion transition under multiple reaction monitoring (MRM) mode. Separation was carried out on Kinetex 2.6u C18 100 A (75 mm × 4.6 mm) phenomenex using isocratic elution with 10:90% water and acetonitrile containing 2.0 mmol/L ammonium formate and 0.2% formic acid. The validation parameters were obtained and verified. The linearity was 0.2–10.0 ng/mL with r2 > 0.9975. LOD and LOQ were 0.06 and 0.19 ng/mL, respectively, for Sudan (I

Healthcare
Agriculture and Crops

Cold flow numerical simulation inside local pottery furnace for different designs for the air inlet

One of the many pleasures of living in Egypt is having the opportunity to visit places like a village called Tunis in El-Fayoum governorate which is a touristic village and export art and handicraft such as Pottery for 3-4 decades. The clay processing in the traditional pottery industry contains several stages. The process and quality of the pottery have to be improved to reduce pollution and the manufacturing round time which could be done through improving the heating process. Towards this goal, turbulent three-dimensional numerical simulations for the in-use air inlet and a modified design

Healthcare
Software and Communications
Agriculture and Crops